안녕하세요! 비즈니스의 성장을 꿈꾸는 여러분들을 위해 오늘은 아주 중요한 개념인 LTV (Lifetime Value) 에 대해 쉽고 재미있게 파헤쳐 보는 시간을 갖겠습니다. 특히 많은 분들이 궁금해하시는 LTV 계산방법에 대해 자세히 알아보면서, 어떻게 하면 고객 한 명 한 명의 가치를 극대화할 수 있을지에 대한 인사이트를 얻어 가실 수 있을 거예요.
이 글을 통해 LTV란 무엇인지 명확히 이해하고, 실제 비즈니스에 LTV 계산방법을 적용하여 성장을 이끌어내는 데 도움이 되시기를 바랍니다.

목차
- LTV란 무엇일까요? 고객 생애 가치의 중요성
- 왜 LTV 계산방법을 알아야 할까요? 전략 수립의 시작
- 가장 기본적인 LTV 계산방법: 평균 구매액 기반
- 보다 정교한 LTV 계산방법: 수익률 반영
- 구독 모델을 위한 LTV 계산방법: SaaS 비즈니스의 핵심
- LTV 계산방법 적용 시 고려사항: 상황에 맞는 최적화
- LTV를 높이는 방법: 고객 경험 개선이 핵심
- LTV와 CAC: 비즈니스 성장의 황금비율
- LTV 계산방법을 통한 성공 사례: 쿠팡과 넷플릭스
- LTV 계산방법, 이제 당신의 비즈니스에 적용해 보세요
LTV란 무엇일까요? 고객 생애 가치의 중요성
우선 LTV란 무엇인지부터 명확히 짚고 넘어가겠습니다. LTV란 '고객 생애 가치(Lifetime Value)'의 약자로, 한 명의 고객이 우리 비즈니스와 관계를 맺는 전체 기간 동안 발생시킬 것으로 예상되는 총 수익을 의미합니다.


단순히 한 번의 구매로 끝나는 것이 아니라, 고객이 우리 제품이나 서비스를 지속적으로 이용하면서 만들어내는 장기적인 가치를 측정하는 것이죠. 왜 LTV란 개념이 중요할까요? 바로 고객 확보 비용(CAC: Customer Acquisition Cost)과 비교하여 비즈니스의 수익성을 판단하는 핵심 지표이기 때문입니다. 고객 확보에 들어가는 비용보다 LTV가 훨씬 높아야 건강한 비즈니스 모델이라고 할 수 있겠죠.
결국 LTV란 비즈니스의 지속 가능한 성장을 위한 나침반과 같은 역할을 합니다.
왜 LTV 계산방법을 알아야 할까요? 전략 수립의 시작
그렇다면 우리는 왜 LTV 계산방법을 알아야 할까요? 단순히 LTV란 개념을 아는 것을 넘어, 실제로 LTV 계산방법을 적용하는 것은 비즈니스 전략 수립에 있어 매우 중요한 단계입니다.
LTV 계산방법을 통해 우리는 고객 한 명에게 어느 정도의 마케팅 비용을 투자해야 하는지, 어떤 고객층에 집중해야 하는지, 그리고 고객 유지에 얼마나 많은 노력을 기울여야 하는지에 대한 구체적인 근거를 마련할 수 있습니다.


또한, 투자 유치 시에도 중요한 지표로 활용됩니다. 결국 LTV 계산방법은 비즈니스의 현재 상태를 진단하고 미래를 예측하며, 궁극적으로 더 나은 의사결정을 내릴 수 있도록 돕는 필수적인 도구입니다.
가장 기본적인 LTV 계산방법: 평균 구매액 기반
이제 본격적으로 LTV 계산방법에 대해 알아보겠습니다. 이 LTV 계산방법은 고객의 평균 구매액과 구매 빈도, 그리고 고객 유지 기간을 활용합니다.
LTV = (평균 구매액) x (평균 구매 빈도) x (평균 고객 유지 기간)
예를 들어, 평균 구매액 5만원, 월 평균 구매 빈도 1회, 평균 고객 유지 기간 24개월인 고객이 있다면, 이 고객의 LTV는 5만원 x 1회/월 x 24개월 = 120만원이 됩니다.


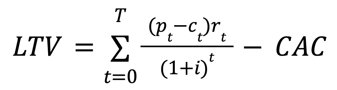
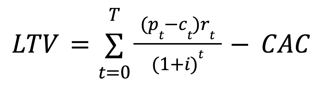
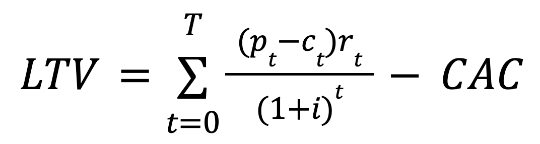
보다 정교한 LTV 계산방법: 수익률 반영
수익성을 고려한 계산이 더 정확한 판단을 가능하게 합니다. 이 계산방법은 매출총이익률을 포함합니다.
LTV = (평균 구매액) x (평균 구매 빈도) x (평균 고객 유지 기간) x (매출총이익률)
예를 들어 매출총이익률이 50%라면, 120만원의 절반인 60만원이 LTV가 됩니다. 실제 이익을 반영하는 계산방법은 현실적인 전략 수립에 꼭 필요합니다.
2025.08.15 - [분류 전체보기] - 부채비율 이란 ? 계산법 및 기업 재무 건강 한눈에 보는 법
부채비율 이란 ? 계산법 및 기업 재무 건강 한눈에 보는 법
부채비율 계산법부터 활용까지 깔끔 정리!안녕하세요! 오늘은 기업 재무의 핵심 지표 중 하나인 부채비율에 대해 쉽고 재미있게 알아보겠습니다. 부채비율은 기업의 재무 건전성을 평가하는 데
lang001.woochynainfo.com
구독 모델을 위한 LTV 계산방법: SaaS 비즈니스의 핵심
구독 모델에서는 이탈률을 반영한 계산방법이 일반적입니다.
LTV = (평균 월 구독료) / (월별 이탈률)
월 구독료 10,000원, 이탈률 5%면 LTV는 200,000원입니다. 이탈률 관리가 LTV 상승의 핵심입니다.
LTV 계산방법 적용 시 고려사항: 상황에 맞는 최적화
비즈니스 환경에 따라 LTV 계산방법을 유연하게 적용하는 것이 중요합니다.
- 정확한 데이터 수집
- 고객 세분화
- 시간 흐름 반영
- 예측 모델 활용
고객별, 시점별로 변하는 LTV 특성을 고려해 전략을 수립해야 합니다.


LTV를 높이는 방법: 고객 경험 개선이 핵심
- 만족도 향상: 서비스 품질 개선
- 유지율 증가: 락인 효과 및 혜택
- 평균 구매액 상승: 업셀링 전략
- 구매 빈도 증가: 리마케팅 캠페인
고객 중심의 경험 제공이 곧 LTV 향상입니다.
2025.08.15 - [분류 전체보기] - TMI 뜻과 AKA 뜻: 일상에서 자주 쓰는 신조어 완전 정복
TMI 뜻과 AKA 뜻: 일상에서 자주 쓰는 신조어 완전 정복
일상 대화부터 SNS까지 꼭 알아야 할 TMI 뜻과 AKA 뜻, 그 모든 이야기인사말과 TMI 뜻, AKA 뜻 개요안녕하세요! 오늘은 일상에서 자주 들어보셨을 TMI 뜻과 AKA 뜻에 대해 재미있고 알차게 파헤쳐 보겠
lang001.woochynainfo.com
LTV와 CAC: 비즈니스 성장의 황금비율
이상적인 비율은 LTV:CAC = 3:1입니다. 고객 한 명을 유치하는 데 들어가는 비용 대비 3배 이상의 수익을 기대할 수 있어야 비즈니스가 안정적입니다.


LTV 계산방법을 통한 성공 사례: 쿠팡과 넷플릭스
- 쿠팡: 로켓배송으로 고객 경험 극대화 → LTV 증가
- 넷플릭스: 콘텐츠 최적화와 이탈률 감소 전략으로 구독 기간 연장 → LTV 극대화
이들은 모두 LTV 기반 전략으로 고객 가치를 높여 성장했습니다.
LTV 계산방법, 이제 당신의 비즈니스에 적용해 보세요
LTV는 단순 숫자가 아닌 전략적 지표입니다. 꾸준히 계산하고, 전략을 수정하며, 고객과의 장기적 관계를 통해 더 큰 비즈니스 성장을 기대해 보세요.


정리
- 📌 LTV란 고객 생애 총 수익
- 📌 기본 공식: 구매액 x 빈도 x 유지 기간
- 📌 수익률, 구독 모델에 따라 변형 가능
- 📌 CAC와의 비율로 수익성 평가
- 📌 성공 기업은 모두 LTV 중심 전략
2025.08.15 - [분류 전체보기] - 부채비율 이란 ? 계산법 및 기업 재무 건강 한눈에 보는 법
부채비율 이란 ? 계산법 및 기업 재무 건강 한눈에 보는 법
부채비율 계산법부터 활용까지 깔끔 정리!안녕하세요! 오늘은 기업 재무의 핵심 지표 중 하나인 부채비율에 대해 쉽고 재미있게 알아보겠습니다. 부채비율은 기업의 재무 건전성을 평가하는 데
lang001.woochynainfo.com
2025.08.04 - [분류 전체보기] - ISA 계좌란 무엇일까??
ISA 계좌란 무엇일까??
ISA 계좌란? 세제 혜택부터 활용 팁까지 한눈에 정리개인종합자산관리계좌, 재테크 필수 아이템을 지금 시작해야 하는 이유 광고 안녕하세요! 여러분의 재테크 길잡이가 되어드릴 시간입니다.
lang001.woochynainfo.com
2025.08.15 - [분류 전체보기] - 알뜰폰 요금제 비교 완벽 가이드
알뜰폰 요금제 비교 완벽 가이드
통신비 절약, 알뜰폰으로 시작해보세요!인사말 및 개요안녕하세요! 통신비 절약의 구세주, 알뜰폰 요금제에 대해 알아보러 오신 여러분을 환영합니다! 요즘 같은 물가 상승 시대에 매월 나가는
lang001.woochynainfo.com
감사합니다!
















